Select
Mit dem interaktiven BOXER Produktselektor findest du mit wenigen Clicks das passende Produkt zu deiner Anforderung.
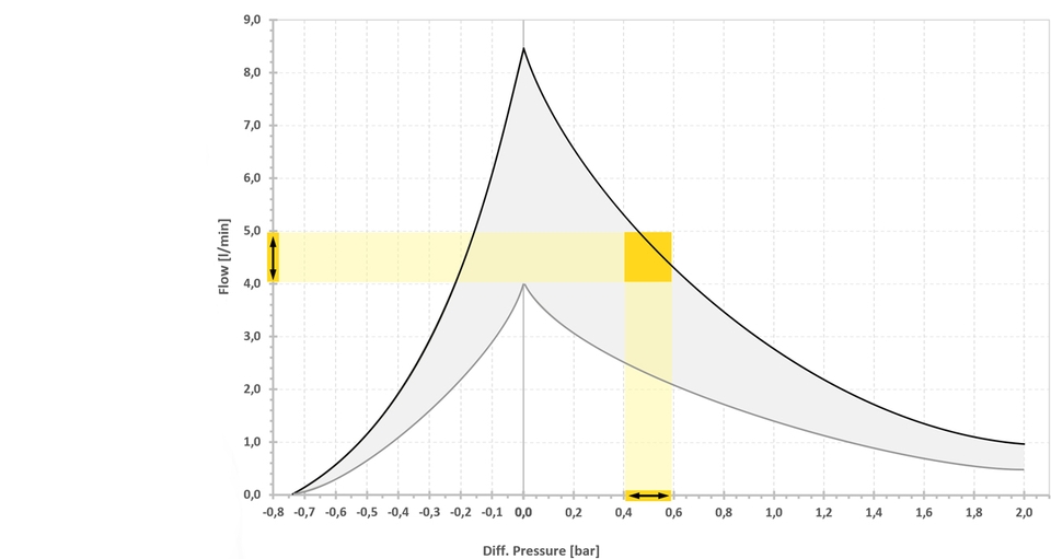
Die Auswahl der Pumpe erfolgt, wenn der gewählten Werte von Druck und Flow (gelber Quadrant) ganz oder teilweise mit dem Arbeitsbereich unserer Pumpen (grauer Bereich) überlappt. Das Bild auf der rechten Seite zeigt das Prinzip grafisch und gleichzeitig auch die Voreinstellungen des Selektierers.
Die Werte können durch Klicken in den Balken (Schieber springen zur Maus-Position) oder durch Positionieren der Schieber (CTRL + Ziehen für Verschiebung eines markierten Bereiches) oder durch numerische Eingabe in die Box verifiziert oder angepaßt werden.
Die Ergebnisse werden bei jeder Änderung automatisch aktualisiert.
Eingegrenzte Werte reduzieren die Trefferquote.
Scrolle durch die Ergebnisse für zusätzliche Informationen. Die Pumpen sind nach Größe aufsteigend sortiert. Klicke auf die Flow-Kurve oder auf die Wertetabelle, um zu vergrößern und nutze bei Bedarf die Links zu den Datenblättern und Bestellinformationen.
