DBMX150 Series
The DBMX150 is the 150 l/min linear diaphragm pump from the Airmac DBMX Series. It offers low noise with stable performance over the long lifespan of the pump. It is sold complete with a robust and sound reducing aluminium housing, integrated inlet filter, rubber feet, outlet port with additional rubber elbow connector and clamps, power cord and EU plug. To accomodate the increased performance when compared to the 80, 100 and 120 l/min DBMX pumps, the height of the housing is increased by 25mm.
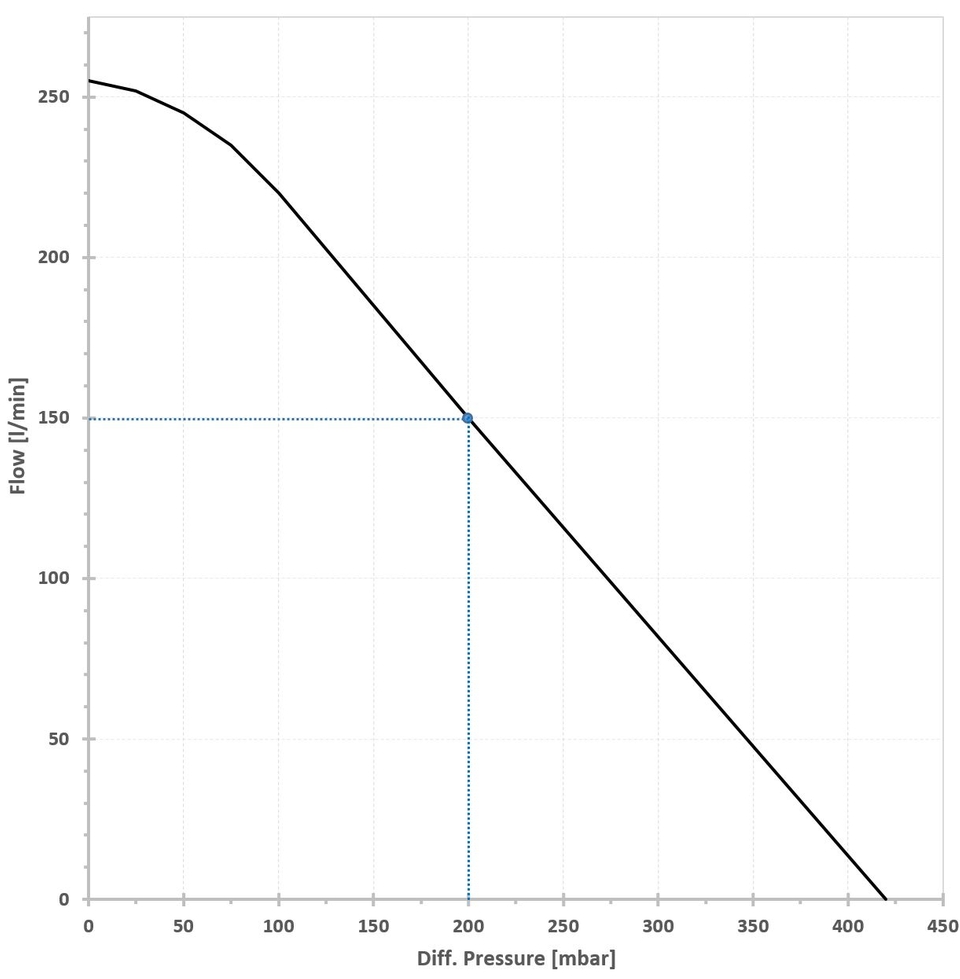
› Flow rate of 150 l/mim against 200 mbar
› Low power consumption (170 W)
› Long life linear drive
› Safety switch to protect against diaphragm failure
› Fully serviceable (⇒ service kits)
Flow (at 200 mbar) | 150 l/min |
Operating Pressure Range | 100 to 250 mbar |
Operating Flow Range | 220 to 120 l/min |
Current Consumption (at 200 mbar)) | 1.2 A |
Power Consumption (at 200 mbar) | 170 W |
Cable Length | 1.8 m |
Cable Termination | EU Plug |
Approval | CE (according to EN60335, electrical household appliances), RoHS |
Operating Temperature Range | -10 to +40 °C |
Operating Humidity Range | 20 to 80% RH |
Inlet | Via Integrated filter (under housing cover as replaceable item) |
Outlet | 18 mm OD port |
Weight | 12.8 kg |
To order samples / small quantities, click on the above 'Purchase Configurator' link or use the 'Add to shopping cart' links below.


Part Number:
190150.230
Model:
DBMX150 (230 V / 50 Hz with EU plug)
All data is representative for selection purposes, however does not indicate maximum or minimum values. These products are sold as components which are to be incorporated into a device. It is the responsibility of the manufacturer of the device to determined the suitability of the pump for the application and to ensure compliance will all applicable approvals and regulations. These products are not suitable for in-vivo applications.