DB8B and DB8BS
The DB8B and DB8BS is the 22.5 l/min miniature linear diaphragm pump from Airmac. Without the need for bearings or brushes, these linear driven pumps have extremely long life in comparision to conventional motor driven pumps. With an OEM component deisgn these pumps are ideally suited to applications requiring long life, low pressure differentials and low sound. Examples are continuous air / gas monitoring, medical massage systems and fragrance generation. They are supplied with inlet (BS model) and outlet porting, integrated vibration mounts and connection leads. Available voltage: 230 V / 50 Hz.
› Flow rate to 22.5 l/mim
› OEM component with inlet (BS model) and outlet ports
› Low sound level
› Low power consumption
› Lightweight / compact
› Integrated vibration mounts
› Long life linear drive
DB8B is pressure only (with outlet port only, inlet is via an orifice on underside of pump).
DB8BS is for vacuum and pressure (with inlet and outlet ports).
DB8B | |
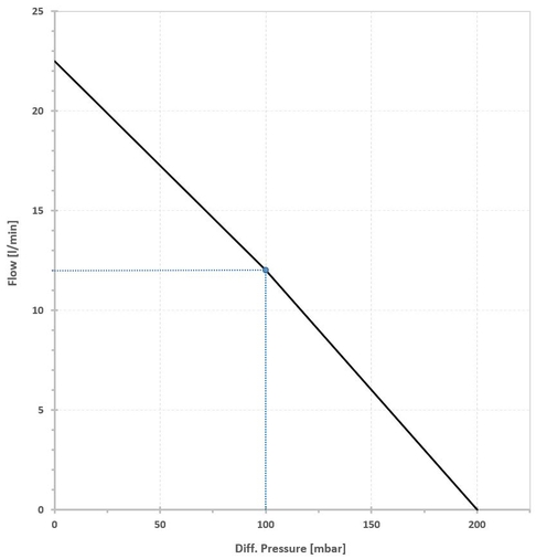
Operating Flow Range | 0 to 22.5 l/min |
Operating Pressure Range | 0 to +200 mbar |
Flow (at 100 mbar) | 12.0 l/min |
DB8BS | |
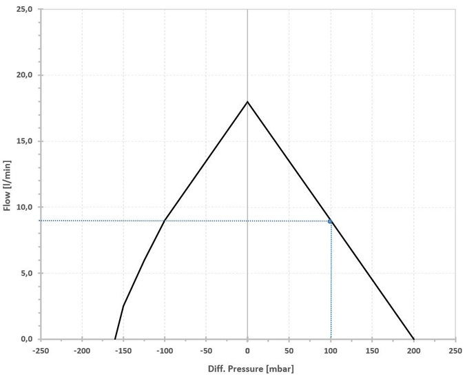
Operating Flow Range | 0 to 18.0 l/min |
Operating Pressure Range | -160 to +200 mbar |
Flow (at 100 mbar) | 9.0 l/min |
Power Consumption (at 100 mbar) | 10.0 W |
Current Consumption (at 40 mbar) | |
230 V / 50 Hz | 0.09 A |
Cable Length | 540 mm |
Cable Termination | 10 mm stripped / soldered |
Approvals | CE (according to EN60335, electrical household appliances), RoHS |
Operating Temperature Range | -10 to +40 °C |
Operating Humidity Range | 20 to 80% RH |
Inlet | 6.0 mm OD straight port |
Outlet | 8.0 mm OD straight port |
Weight | 1.1 kg |


Available, shipping in 1 - 2 days